Steel beam confusion

Joined
31 Jul 2017
Messages
3
Reaction score
0
Country
United Kingdom
IMG_5442.PNG
IMG_5443.PNG
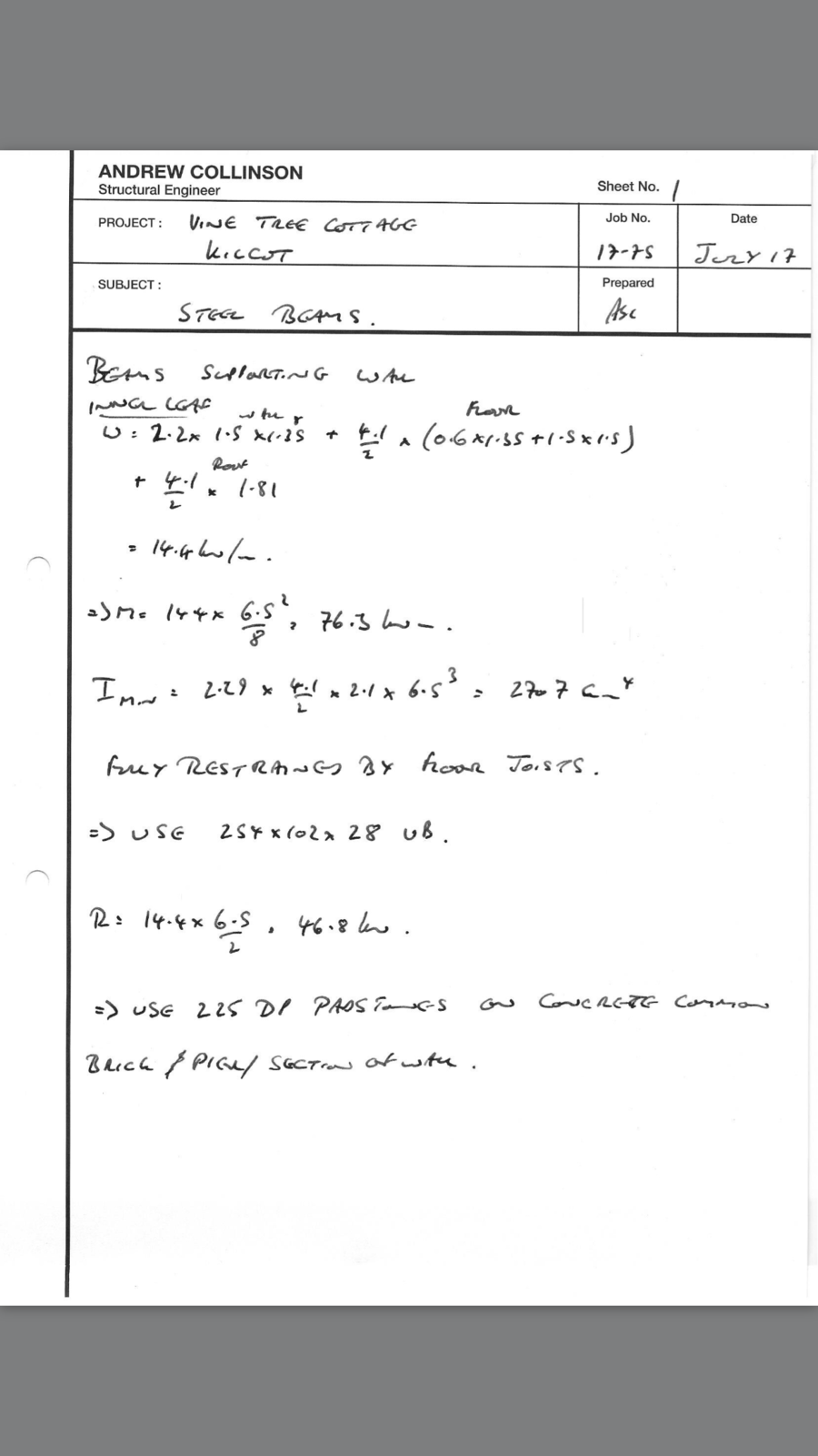
Hi all, please can anyone make any sense of this (see attached). I just need to know what the height and depth of the steel beam is going to be (it has already been ordered but need to know for ceiling measurements etc).
There are way too many numbers on there for me to decipher what is what and in what unit.

Any help muchly appreciated

Kind regards,

Faye
 
1. You could ask your S.E. ;)
2. The bit where it says 'use.... ' is the beam specifications he's telling you to use.

So use 254 x 102 x 28, this means 254mm tall, 102mm wide, and 28Kg per metre in weight.
UB is universal beam

Glulam beam is glue impregnated wood beam, something I know nothing about!
 

If you need to find a tradesperson to get your job done, please try our local search below, or if you are doing it yourself you can find suppliers local to you.

Select the supplier or trade you require, enter your location to begin your search.


Are you a trade or supplier? You can create your listing free at DIYnot Local

 
Back
Top