was he thinking of his IQ test.........How did he get to 64%?
was he thinking of his IQ test.........How did he get to 64%?
no it doesnt stop telling lies . Show me where they say it isnt 64% which would be their first comment if it wasntthe article you linked says they are
Joking aside I think he played it well, even though the Don was already better disposed towards us. The State visit may well have paid dividends.He talked him up from “I think we can do a deal” to. 10%.
Keith done well![]()

hopefully. unfortunately Starmer makes the mistake of assuming he is smarter than the other guy and over plays his hand.Joking aside I think he played it well, even though the Don was already better disposed towards us. The State visit may well have paid dividends.

Why would it be? They are dealing with a bully and need to choose their words carefully. Where did they say 64% is correct? They said it doesn't reflect the true situation.no it doesnt stop telling lies . Show me where they say it isnt 64% which would be their first comment if it wasnt
doesnt look like anything of the sort
Repeat the Taiwanese are not disputing the figures in any of their responses
The richest 100 in the country do you think that is a good
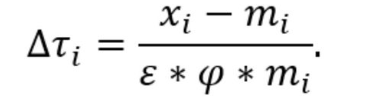
Thanks that’s interestingBelow is the equation that Team Trump are using to explain how they calculated the reciprocal tariffs. It looks impressive, but it is actually very simple. None of it is based at all on the actual level of tariffs which other countries charge. It is all based on the trade deficit, and then worked backwards to imply a level of tariffs which don't actually exist. It is an absolutely fascinating piece of spin.
View attachment 378111
Being in the EU didn’t affect you day to day life either.Brexit has not affected my day to day life in any way whatsoever , yep project fear
no it doesnt stop telling lies . Show me where they say it isnt 64% which would be their first comment if it wasnt
"The tariff rate does not accurately reflect the actual Taiwan-US trade situation and is unfair to Taiwan
Trade deficit doesn’t mean USA are worse off
Correct.No one gave the answer 'No' to the question of is MBK right wing?

So If I buy more from the US, than I sell to the US, I get a subsidy?Below is the equation that Team Trump are using to explain how they calculated the reciprocal tariffs. It looks impressive, but it is actually very simple. None of it is based at all on the actual level of tariffs which other countries charge. It is all based on the trade deficit, and then worked backwards to imply a level of tariffs which don't actually exist. It is an absolutely fascinating piece of spin.
View attachment 378111
Trade deficits make America great, not tariffsIndeed. It usually means the opposite. That a country is rich.