Do you have a mid-position valve? If so, it has to be converted to a diverter and turned round, so Port A is to the HW and Port B to the Heating (see Options 6 and 10 in the Suggested Schematics book).I now have a new Avanta 18S that since it's installation I've been using with a CM927. Earlier this week I finally received a iSense RF from Holland and I've spent a few nights this week temporarily hooking it up and seeing what it does.
The reason for this is that, in heating mode, the boiler temperature is controlled by the outside sensor, so it could be anything from 30C to 70C. This means it may not be hot enough to heat the cylinder. The system therefore automatically raises the flow temperature to maximum and stops circulation through the rads.
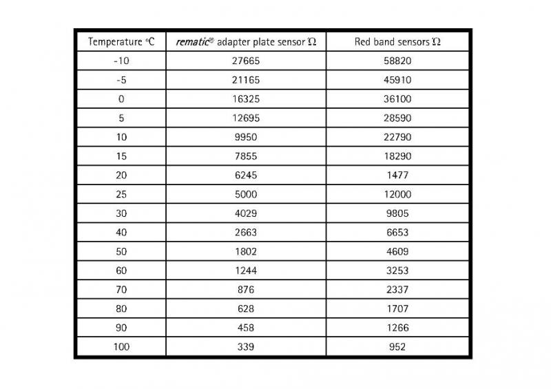
If it's of any use, here is a table showing the temperature/resistance values for a red-band sensor (right hand column). There is an obvious typing error as 20degC should obviously be 14770, not 1477.
The iSense Installation Manual says:
Tap water temperature
1. Select Menu > Settings > DHW > DHW temp.
2. Select one of the following options:
- Temperature: select the temperature that the hot tap water must have continuously.
- Clock program: use a clock program to determine the temperature of the tap water. Setting this clock program is virtually identical to setting a clock program for the desired room temperature.
This is described in paragraph 5.1.
The maximum temperature that can be set depends on the boiler settings.
When setting a clock program, start this an hour before you first require hot water. This gives the boiler sufficient time to heat up

