Hi,
I would like to ask few pointers regarding producing load span table for single span, double span, and triple span by using information and value gathered from the section properties under the Eurocode. It is a Class 4 material metal roofing sheet.
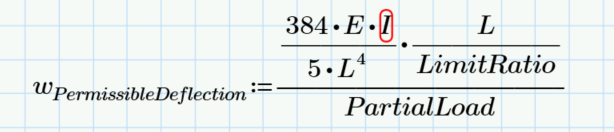
I ve got the effective section properties. Am I right to use these formulas from this point to get my final UDL?
Example, for Single span:
Am I right to assume that this is the formula to get the UDL, since it s governed by the deflection, I should be using the load from deflection as my final UDL? Do I need to divide the result with Partial Load? TIA
I would like to ask few pointers regarding producing load span table for single span, double span, and triple span by using information and value gathered from the section properties under the Eurocode. It is a Class 4 material metal roofing sheet.
I ve got the effective section properties. Am I right to use these formulas from this point to get my final UDL?
Example, for Single span:
Am I right to assume that this is the formula to get the UDL, since it s governed by the deflection, I should be using the load from deflection as my final UDL? Do I need to divide the result with Partial Load? TIA
