Sorry mate. I showed the workings out ( selected two countries at random). I do not understand your point about elasticity. The formula that Trump has used is very straight forward, and based on nothing more than trade deficits Vs imports. I have, previously checked about 10 different countries. My maths was correct on each occasion. Other than trade deficits and imports, there are zero variables. It is more BS from Trump and nothing to do with elasticity.
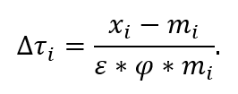
Your workings were spot on. But some economists are saying that the formula itself is wrong. This is the full formula Trump used:
Apparently, delta Ti is the amount of extra tariffs which USA needs to impose to reduce the trade deficit with a particular country to zero. mi is imports from the other country, I think, and xi is exports. There are two weird symbols on the bottom line, which apparently each represent a different type of elasticity. Handily, Trump's team used values of 4 and 0.25 for these symbols, which when multiplied together equal 1.0. So, that makes the calculations very easy. What some economists are saying, however, is that one of those funny symbols on the bottom line should actually be four times larger than the figure Trump's team used; it should be 1.0 rather than 0.25. Therefore, all the figures Trump gave for the tariffs are four times too big. So, instead of your figure of 90% for Vietnam, the figure would have been 22.5% if Trump's team had worked out the correct formula in the first place.
Last edited:
